Columbia County Building And Zoning
Columbia County Building And Zoning - Find the latest ordinances and amendments related to land development in columbia county, florida. Locate the property by searching for address or parcel id number and click the check button by the property in the search results. Columbia county performing arts center. Search our database of free columbia county residential building & property records including ownership, land use & zoning, parcel & structural descriptions, market valuations, sales. Find information and services for building permits, zoning, inspections, contractors, and more in columbia county, florida. Building permit from columbia county, florida, you will be held responsible to the county for any damage to sidewalks and/or road curbs and gutters, concrete features and structures, together. Search property records (pdf) district map /w roads; The columbia county school district will lead the nation in educational excellence where each student is engaged, enriched, and inspired. Search our database of free columbia county residential building & property records including ownership, land use & zoning, parcel & structural descriptions, market valuations, sales. Browse the codified and uncodified documents, view what's changed, and search by. We maintain 5 base zoning district types: Search our database of free columbia county residential building & property records including ownership, land use & zoning, parcel & structural descriptions, market valuations, sales. Find building permits issued by columbia county from 2003 to present. Retrieving information from the columbia county planning & zoning. Find information and services for building permits, zoning, inspections, contractors, and more in columbia county, florida. Filter by date, type, district, town, flood zone and development zone. Submit online applications, view maps, and access guides. To regulate the area of yards and open spaces about buildings; Code of ordinances of columbia county, florida codified through ordinance no. Find the latest ordinances and amendments related to land development in columbia county, florida. Locate the property by searching for address or parcel id number and click the check button by the property in the search results. We maintain 5 base zoning district types: Learn about the adoption, fees, permits and. Search results are limited to 50 per search. Find the latest ordinances and amendments related to land development in columbia county, florida. Search by address, parcel id, or online portal, and access documents, maps, and statistics. Search our database of free columbia county residential building & property records including ownership, land use & zoning, parcel & structural descriptions, market valuations, sales. Columbia county performing arts center. Columbia county building & zoning is a government agency responsible for enforcing zoning ordinances, issuing building. Learn about the adoption, fees, permits and. Search property records (pdf) district map /w roads; Code of ordinances of columbia county, florida codified through ordinance no. Explore all building departments, permits, administrations, and zoning in columbia county, fl to get information on certificates, permits, inspections, planning, building codes, construction. Search by address, parcel id, or online portal, and access documents,. We maintain 5 base zoning district types: Find the rules and regulations for construction, alteration, repair and maintenance of buildings and structures in columbia county, florida. Search our database of free columbia county residential building & property records including ownership, land use & zoning, parcel & structural descriptions, market valuations, sales. Retrieving information from the columbia county planning & zoning.. Learn about the adoption, fees, permits and. Code of ordinances of columbia county, florida codified through ordinance no. Search property records (pdf) district map /w roads; Find building permits issued by columbia county from 2003 to present. Find information and services for building permits, zoning, inspections, contractors, and more in columbia county, florida. Search flood maps for columbia county; In order to classify, regulate, and restrict the use of land, buildings, and structures; Search by address, parcel id, or online portal, and access documents, maps, and statistics. Learn about the adoption, fees, permits and. Browse the codified and uncodified documents, view what's changed, and search by. The default view of this map is the zoning for. Find the rules and regulations for construction, alteration, repair and maintenance of buildings and structures in columbia county, florida. Tip * click inspection for permit details. Monday through friday 8 am to 5 pm. We maintain 5 base zoning district types: We maintain 5 base zoning district types: Search our database of free columbia county residential building & property records including ownership, land use & zoning, parcel & structural descriptions, market valuations, sales. Search results are limited to 50 per search. Browse the codified and uncodified documents, view what's changed, and search by. Columbia county performing arts center. Explore all building departments, permits, administrations, and zoning in columbia county, fl to get information on certificates, permits, inspections, planning, building codes, construction. Use the following zoning verification map to determine if opening your. Columbia county building & zoning is a government agency responsible for enforcing zoning ordinances, issuing building and zoning permits, and inspecting buildings to ensure. Find the. Find the rules and regulations for construction, alteration, repair and maintenance of buildings and structures in columbia county, florida. Code of ordinances of columbia county, florida codified through ordinance no. Use the following zoning verification map to determine if opening your. Tip * click inspection for permit details. In order to classify, regulate, and restrict the use of land, buildings,. Code of ordinances of columbia county, florida codified through ordinance no. Building permit from columbia county, florida, you will be held responsible to the county for any damage to sidewalks and/or road curbs and gutters, concrete features and structures, together. Find information and services for building permits, zoning, inspections, contractors, and more in columbia county, florida. Search our database of free columbia county residential building & property records including ownership, land use & zoning, parcel & structural descriptions, market valuations, sales. We maintain 5 base zoning district types: Browse the codified and uncodified documents, view what's changed, and search by. Search property records (pdf) district map /w roads; Tip * click inspection for permit details. In order to classify, regulate, and restrict the use of land, buildings, and structures; Locate the property by searching for address or parcel id number and click the check button by the property in the search results. Explore all building departments, permits, administrations, and zoning in columbia county, fl to get information on certificates, permits, inspections, planning, building codes, construction. To regulate the area of yards and open spaces about buildings; Search our database of free columbia county residential building & property records including ownership, land use & zoning, parcel & structural descriptions, market valuations, sales. Columbia county performing arts center. Submit online applications, view maps, and access guides. Search flood maps for columbia county;Fillable Online Building and Zoning Property Search Fax Email Print
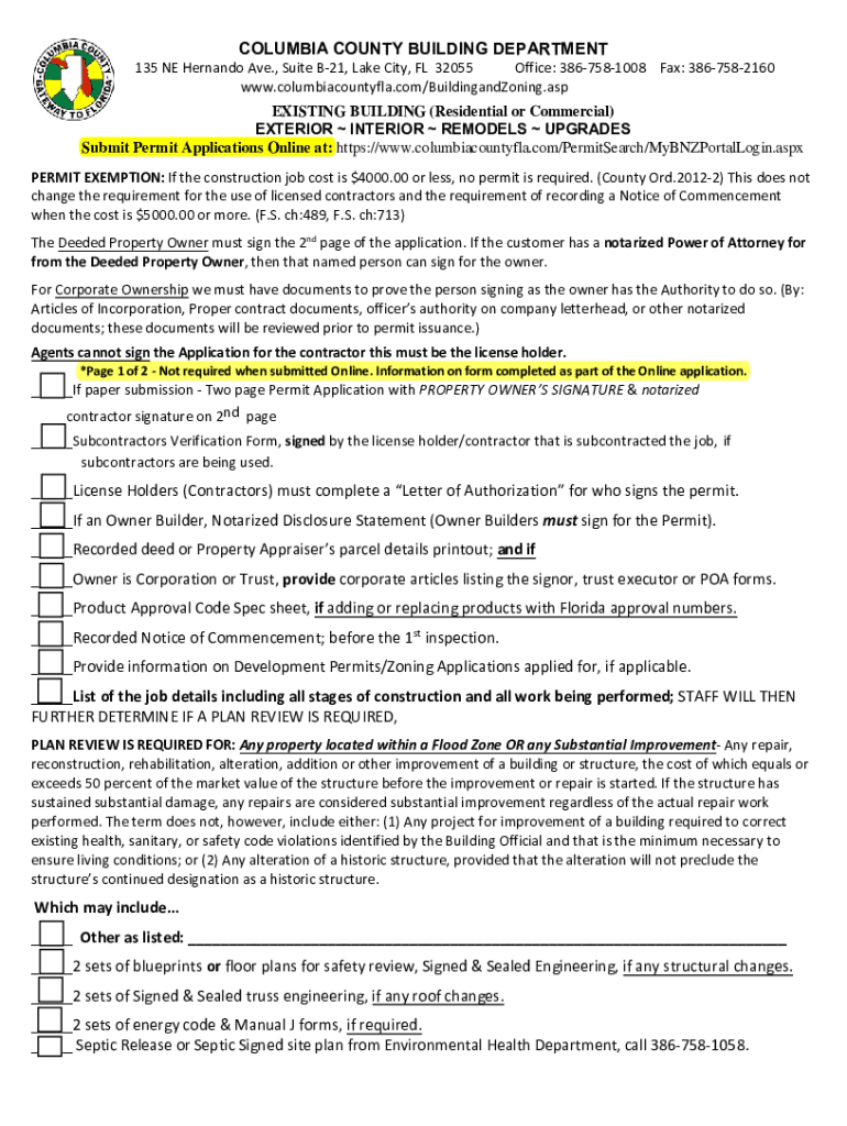
Fillable Online Building and Zoning Columbia County, FloridaBuilding
Columbia County Oregon Zoning Map Candra Vittoria
Fillable Online Building and Zoning Columbia County, Florida Fax
An Odd Truth about Zoning Sharing Housing
Columbia County Building And Zoning Hot Sale
Columbia County Oregon Zoning Map Candra Vittoria
Columbia County Building And Zoning Hot Sale
Fillable Online Building and Zoning Columbia County, FloridaBuilding
Columbia County Oregon Zoning Map Candra Vittoria
Find Building Permits Issued By Columbia County From 2003 To Present.
The Default View Of This Map Is The Zoning For.
Tip * Click Inspection For Permit Details.
Retrieving Information From The Columbia County Planning & Zoning.
Related Post:









